Hydroxyethylamino-Di(Methylene Phosphonic Acid) (HEMPA)
CAS No. 5995-42-6 Molecular weight: 249
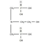
Structural Formula:

Properties:
HEMPA is an organophophoric acid, which exhibits excellent chelation, scale inhibition and corrosion inhibition. It is mainly used in oilfield, detergent / soap and metal treatment etc, especially useful in the water sytems with high level of dissolved iron and calcium. It is also compatible with methanol/water solution. When built together with other water treatment chemicals, it shows good synergistic effects.
Specification:
| Items | Index | Index |
|---|---|---|
| Appearance | Colorless to light yellow transparent liquid | Colorless to light yellow transparent liquid |
| Active content, % | 50.0 min | 60.0 min |
| pH (1% water solution) | 2.0 max | 2.0 max |
| Chloride (as Cl-), % | 5.0 max | 5.0 max |
| Fe, mg/L | 20.0 max | 20.0 max |
| Density (20℃), g/cm3 | 1.20 min | 1.30 min |
Usage:
HEMPA is usually used together with other organophosphoric acid, polycarboxylic acid and salt in different areas.
Package and Storage:
250kg/drum; 1250kg/IBC; or customers’ requirement. Storage for ten months in shady room and dry place.
Safety Protection:
Avoid contact with eye and skin. Goggles and rubber gloves should be used at all times while handling the product.