Acrylic Acid-2-Hydroxypropyl Acrylate Copolymer (T-225)
CAS No. 55719-33-0
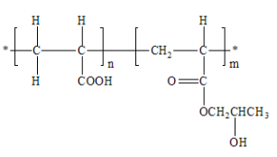
Structural Formula:

Properties:
T-225 is copolymer of polyacrylic acid and hydroxypropyl acrylate, it has good scale inhibition and dispersion properties to calcium phosphate and calcium carbonate, it has good dispersion properties to ferric oxide sludge, clay and grease. T-225 can be used under high pH situation and has good compatibility with other organophosphines and BTA, T-225 can effectively withhold sediments of zinc salt and calcium phosphate, it has good scale inhibition and dispersion properties under high temperature and alkaline situations.
Specification:
| Items | Index | |
|---|---|---|
| Neutral | Acid | |
| Appearance | Colorless to pale yellow transparent liquid | |
| Solid content, % | 30.0 min | 30.0 min |
| Free monomer (as AA ), % | 0.5 max | 0.5 max |
| pH(1% water solution) | 7.5±1.0 | 2.5±0.5 |
| Density (20℃), g/cm3 | 1.10 min | |
Usage:
T-225 can be used in circulating cool water system in situation of alkaline and excess of phosphate. It can be used as scale inhibitor and dispersant for heater, none-column evaporator boiler, circulating cool water and oilfield dirty refilling water with high calcium content. The dosage of 10~30mg/L is preferred. It can be built with organophosphines to form full organic alkaline formula.
Package and Storage:
200L plastic drum,IBC(1000L),customers’ requirement. storage for one year in shady room and dry place.